En este blog se revisan algunos conceptos básicos sobre radioactividad, dosimetría, emergencias radiológicas , funcionamiento de un reactor nuclear, los límites derivados, radioprotección y con esa base interpretar lo acontecido en el accidente de los reactores en Fukushima. Del mismo modo se analizará la propuesta nuclear como opción como fuente de energía. SE realiza la interpretacion de eventos o accidentes radiologicos que ocurren en el Peru.
Entradas populares
-
El día 12 de Enero del 2012 ocurrió un accidente en el taller de turbogeneradores de la empresa QUALITEST INTERNATIONAL SERVICE S.A.C, según...
-
Porque algunos átomos son inestables Algunas proporciones en el núcleo de protones a neutrones hacen que un núcleo sea estable o inestabl...
-
Lo que ocurrió en Fukushima El día 11 de Marzo ocurrió un terremoto de grado 8.9 en la escala de Richter, al noroeste de Japón y generó un...
-
RIESGO El concepto de riesgo puede variar, como lo expone Chiossi(1) 1. es posible concebir sucesos peligrosos que eventualmente podrían o...
-
Estudios epidemiológicos de los efectos a la salud de las radiaciones ionizantes Epidemiología es la disciplina que estudia la enfermedad en...
-
La existencia de pararrayos en las escuelas del País es un problema de salud pública Aunque no podemos decir que haya estudios contundent...
-
El inventario radioactivo esta compuesto por gases y partículas, todos son radioactivos pero difieren en su tiempo de vida media, asi por ej...
-
Consecuencias del accidente de Chernobyl Algunas Consecuencias del accidente de Chernobyl Número de personas Exposición intensa...
-
Seguridad Nuclear Objetivo Proteger a los individuos, a la sociedad y al medio ambiente estableciendo y manteniendo en las ce...
jueves, 27 de octubre de 2011
sábado, 7 de mayo de 2011
Lo ocurrido en Chernobyl
Consecuencias del accidente de Chernobyl
Algunas Consecuencias del accidente de Chernobyl | Número de personas |
Exposición intensa, en el emplazamiento y trabajadores del servicio de emergencias | 1000 |
Viven en zonas contaminadas (Belaraús, Rusia y Ucrania | Cinco millones |
Casos de cáncer de tiroides , principalmente niños, causados por la contaminación | 4000 |
Muertes esperadas, entre trabajadores de servicios de emergencia que intervinieron en 1986 y 1987, evacuados y residentes de zonas contaminadas | 4000 |
Etiquetas:
Chernobyl
miércoles, 13 de abril de 2011
LO QUE OCURRIO EN FUKUSHIMA Y SUS CONSECUENCIAS
El día 11 de Marzo ocurrió un terremoto de grado 8.9 en la escala de Richter, al noroeste de Japón y generó un tsunami con olas de hasta 10 metros de altura, que golpeó la ciudad portuaria de Sendai.
De los cinco reactores de Fukushima tres estaban en operación, los que se apagaron automáticamente por la inserción de barras de seguridad.
Según el diseño de seguridad debería actuar el sistema de refrigeración de emergencia, l cual contaba con dos fuentes de energía para mover las bombas: el generador diesel y las baterías.
El tsunami destruyo el generador diesel quedando solamente las baterías para poder extraer el calor residual que es aproximadamente el 3% del calor total del reactor cuando estaba funcionando. Esta batería solo dura 8 horas y en este caso fue insuficiente. Como el calor fue excesivo ante la falta de refrigeración, se fundieron algunas vainas que encierran a los productos de fisión permitiendo su liberación, los daños que fue informado por la Agencia Internacional de Energía Atómica (IAEA) se muestra en la tabla 1 :
De los cinco reactores de Fukushima tres estaban en operación, los que se apagaron automáticamente por la inserción de barras de seguridad.
Según el diseño de seguridad debería actuar el sistema de refrigeración de emergencia, l cual contaba con dos fuentes de energía para mover las bombas: el generador diesel y las baterías.
El tsunami destruyo el generador diesel quedando solamente las baterías para poder extraer el calor residual que es aproximadamente el 3% del calor total del reactor cuando estaba funcionando. Esta batería solo dura 8 horas y en este caso fue insuficiente. Como el calor fue excesivo ante la falta de refrigeración, se fundieron algunas vainas que encierran a los productos de fisión permitiendo su liberación, los daños que fue informado por la Agencia Internacional de Energía Atómica (IAEA) se muestra en la tabla 1 :
TABLA 1
Se propone para el accidente :ARBOL DE EVENTOS PARA ACCIDENTE DE FUKUSHIMA
Para analizar las consecuencias revisaremos algunos estudios epidemiológicos, para lo cuan hay una entrada explicando el tema y los informes de la IAEA sobre el accidente de Chernobyl, documento cuyo enlace figura en esta pagina
Se propone para el accidente :ARBOL DE EVENTOS PARA ACCIDENTE DE FUKUSHIMA
Para analizar las consecuencias revisaremos algunos estudios epidemiológicos, para lo cuan hay una entrada explicando el tema y los informes de la IAEA sobre el accidente de Chernobyl, documento cuyo enlace figura en esta pagina
La descarga de material radioactivo al ambiente de Fukushima es el 10% de lo que descargo el reactor de Chernobyl
TABLA 2
Existen dos categorías que eventos que pueden ser los iniciadores, de un accidente: los eventos internos, es decir, aquellos que ocurren dentro de la instalación como fallas humanas, en cambio hay otra clase eventos, los externos son algunos ocasionados por el hombre como puede ser una avión que se estrella contra el edificio del reactor o un atentado terrorista, también son eventos externos los de origen natural como los sismos , los aluviones.
Los dos accidentes más importantes son el de Chernobyl y luego el de Fukushima, en el primero el evento iniciador fue una falla humana y en el segundo fue un evento externo natural como el sismo.
Los reactores son diseñados para responder a estos eventos, sin embargo en ambos casos los reactores no respondieron como debían, debemos investigar, analizar el porqué ello, se tiene la idea que en el caso de Chernobyl, había grafito en el núcleo (reflector), con ello estaba presente el riesgo de incendio, tal como ocurrió y en el caso de Fukushima, el sismo base de diseño era 8.2 y el que ocurrió fue de intensidad 8.9. El reactor efectivamente se apago por la caída de las barras de seguridad, pero debía actuar el sistema de refrigeración de emergencia para llevarse l calor residual de los elementos combustibles, efectivamente actuaron. Pero el tsunami destruyo la fuente de energía para este sistema de refrigeración de emergencia, quedando las baterías (redundancia), pero se agotaron. ¿se puede llamar falla humana al hecho que este sistema de emergencia dependa de unas bombas que necesitan energía para operar?. Seria una falla humana en el diseño ,no en la operación.
Por otro lado luego de los eventos ocurridos y fallas el núcleo se fundió tanto en Chernobyl como en Fukushima.
Debemos ahora analizar, que una vez fundido el núcleo y las barreras de contención fallaron, en ambos casos hubo fuga al medio ambiente de material radioactivo, cuales fueron las consecuencias radiologicas a los miembros del público y las consecuencias al medio ambiente.
Con los datos que se conocen hasta ahora de lo ocurrido en Fukushima, es posible realizar cálculos de la dosis por pasaje de la nube, la contaminación del suelo y agua y por consecuencia de los alimentos, estos calculos tuvieron que hacerse para elaborar el informe de anásisis de accidentes que se presento a la Autoridad Nacional en Protección Radiológica y Seguridad Nuclear del País respectivo.
Con los datos que se conocen hasta ahora de lo ocurrido en Fukushima, es posible realizar cálculos de la dosis por pasaje de la nube, la contaminación del suelo y agua y por consecuencia de los alimentos, estos calculos tuvieron que hacerse para elaborar el informe de anásisis de accidentes que se presento a la Autoridad Nacional en Protección Radiológica y Seguridad Nuclear del País respectivo.
CONTAMINACION DEL SUELO
Lugar de medicion | Fecha | Iodo 131, | Cesio 137, |
Medido en 8 prefecturas, Bq/m2 | 26 Abril | 2.2 a 37 | 1.3 a 69 |
Litate, Bq/Kg (a 40 Km nor oeste de Fukushima) | 20 marzo | 1170000 | 163000 |
EL PAPEL DEL ENTE REGULADOR
En su informe que el gabinete del primer ministro, Naoto Kan, presenta a la Organización Internacional de la Energía Atómica (OIEA), la agencia de Naciones Unidas que vela por la seguridad de la industria nuclear, destaca la importancia que tiene la independencia del organismo regulador, por existir la posibilidad de
Paises como Argentina, Brasil, España y muchos otros tienen un ente regulador independiente al explotador, no es el caso en el Perú, donde el ente regulador es el Instituto Peruano de Energía Nuclear, pero tambien es y usuario de instalaciones nucleares y radiactivas.
EPIDEMIOLOGIA DE LOS EFECTOS DE LAS RADIACIONES IONIZANTES A LA SALUD
Estudios epidemiológicos de los efectos a la salud de las radiaciones ionizantes
Epidemiología es la disciplina que estudia la enfermedad en poblaciones humanas
Una enfermedad puede ser multifactorial, es decir puede ser causada por varios factores, incluso ser influenciada por algún factor que no es el de riesgo como sexo, edad, nivel socioeconómico y otros mas, para poder “ajustar”, o sea para que solo se pueda medir la asociación entre el factor que consideramos la exposición (exposición a la radiación ionizante) y la enfermedad que nos interesa (cáncer).
Cada estudio tiene un diseño:
Estudios Ecológicos
Es la primera aproximación para determinar si hay o no asociación entre la exposición y la enfermedad, la unidad de observación es un grupo en vez de un individuo.
Cohorte: Es un diseño observacional en él se hace el seguimiento a dos grupos de sujetos, los expuestos y los no expuestos
Transversal: son estudios observacionales que se puede utilizar para estudiar la relación entre dos o más variables en una población en un momento en el tiempo
Casos y controles: Estudio observacional cuando se elige un grupo de sujetos que tienen la enfermedad (casos), y otro en el que está ausente la enfermedad (controles). Ambos grupos se comparan con respecto a un factor de riesgo (la exposición).
Medidas de frecuencia
Prevalencia: es una medida de frecuencia de una enfermedad
Incidencia: se define como el número de casos nuevos de una enfermedad en una población de riesgo durante un periodo de tiempo.
Medidas de asociación
La medición de la magnitud de la asociación entre la enfermedad y la exposición (factor de riesgo) se consigue comparando la frecuencia de la enfermedad en un grupo expuesto al factor de riesgo con la de un grupo no expuesto.
Riesgo relativo
El riesgo relativo (RR) estima la magnitud de una asociación e indica el numero de veces que es mas probable que una enfermedad se desarrolle en el grupo expuesto en relación al grupo no expuesto.
Razón de momios o razón de posibilidades (ODDS RATIO)
Existen situaciones en que no se conoce la incidencia de la enfermedad, como es el caso del estudio de casos y controles, en estos casos
Exceso de Riesgo
Exceso de Riesgo
El exceso de riesgo (riesgo atribuible) es una medida absoluta del efecto de la exposición. Indica cuantos casos son atribuibles a una exposición determinada suponiendo que la relación entre la exposición y la enfermedad sea causal.
Diferencia de riesgo= riesgo de los expuestos – riesgo de los no expuestos
RIESGO RELATIVO
Si se tiene los siguientes datos:
enfermos | sanos | ||
expuestos | 14 | 86 | 100 |
No expuestos | 10 | 90 | 100 |
24 | 176 |
EXCESO DE RIESGO
Diferencia de riesgo= riesgo de los expuestos - riesgo de los no expuestosDiferencia de riesgo= 14/100- 4/100 = 4 enfermos por cada 100 personas
Exceso de riesgo porcentual
4/100porcentaje de riesgo= ------- *100 = 28.6 %
14/100
Estudios epidemiológicos cuando la exposición es la radiación ionizante
14/100
El 28.6% de los sujetos con la enfermedad entre los expuestos puede ser atribuido a la exposición
Estudios epidemiológicos cuando la exposición es la radiación ionizante
Los estudios epidemiológicos de la radiación en dosis bajas presentan desafíos únicos varias. Las personas están expuestas a la radiación de una variedad de fuentes, tanto naturales y artificiales.
Cuando tenemos en cuenta que la gente siempre está experimentando alguna exposición a la radiación de fondo (y la exposición a otros carcinógenos), y que no es siempre una tasa de cáncer de fondo, los efectos de pequeña dosis adicional puede ser muy difícil de detectar.
En los años 80 se reporto el primer caso de leucemia en la vecindad de la planta nuclear de Krummel, Alemania, a raíz de ello el gobierno alemán propicio a que se realice un estudio ecológico en todas las plantas nucleares por un periodo de 11 años (1980-1990), encontrándose que no hubo un incremento significativo del riesgo relativo (RR=0.97 con un intervalo de confianza 0.87-1.08) para niños menores de 15 años y que viven dentro de los 15 km desde la planta. Sin embargo un análisis exploratorio de niños menores de 5 años que Vivian a menos de 5 Km de la planta mostro un incremento significativo del riesgo (RR= 3.01, CI , 1.25-10.31), esto motivo un nuevo estudio por 5 años , encontrando que no había un incremento significativo del riesgo(RR, 1.05, IC al 95%, 0.92-1.20) para todos los canceres en niños menores de 15 años viviendo a menos de 15 Km de las plantas en un incremento no significativo del riesgo (RR, 1.39; IC 95%, 0.69-2.57) para leucemia en niños menores de cinco años dentro de los cinco Km de la planta
Como subsistía la controversia los datos de GCCR fueron re-analizados por dos científicos independientes ,encontraron que el riesgo de todos los canceres para niños menores de 5 años viviendo am menos de 5 km de la planta tenía un incremento significativo (RR,, 1.54; p =0.0034), y el riesgo de leucemia fue mayor(RR, 1.76; p=0.012).
El ESTUDIO KIKK
Un estudio con un diseño superior, el de casos y controles, este estudio de cáncer en niños en la vecindad de centrales nucleares es conocido como KIKK, tuve un periodo amplio (1980-2003), incluyo 41 países.
Los autores concluyen que no es esperado algún efecto en base a los modelos usuales para efectos a bajo niveles.
Estudio epidemiológico del posible efecto de las radiaciones ionizantes derivadas del Funcionamiento de las instalaciones nucleares y radiactivas del ciclo del combustible nuclear españolas sobre la salud de la población que reside en su proximidad
Este estudio se realizo en poblaciones cercanas a las instalaciones nucleares y radiactivas, encontrándose que las dosis acumuladas recibidas por estas poblaciones como consecuencia del funcionamiento de estas instalaciones son muy reducidas, por debajo de las dosis que podrían asociarse a efectos a la salud, sin embargo, una limitación importante de este estudio es su diseño ecológico. El documento puede verse en los "links".
Assessment of chernobyl malignant neoplasms in
European countries
Etiquetas:
cohorte,
epidemiologia,
riesgo relativo
sábado, 9 de abril de 2011
Dispersion de las emisiones radioactivas en el ambiente
El inventario radioactivo esta compuesto por gases y partículas, todos son radioactivos pero difieren en su tiempo de vida media, asi por ejemplo, los gases nobles tienen vida corta como el kripton 85 m con 4.48 horas, pero también están los otros gases de vida media larga, por ser gases nobles estos no cambian químicamente , es decir permanecen en el aire por años, pero de una manera muy diluída por la misma dispersón en el aire.
Los otros productos de fisión son las partículas que si pueden depositarse en el terreno y entrar en un proceso de transferencias en las cadenas tróficas, contaminando asi plantas y animales, por ello pueden contaminarse los alimentos
Los radioisótopos emitidos a la atmosfera se van transfiriendo a la cadena trofica hasta llegar al hombre
Los otros productos de fisión son las partículas que si pueden depositarse en el terreno y entrar en un proceso de transferencias en las cadenas tróficas, contaminando asi plantas y animales, por ello pueden contaminarse los alimentos
Los radioisótopos emitidos a la atmosfera se van transfiriendo a la cadena trofica hasta llegar al hombre
martes, 5 de abril de 2011
SEGURIDAD NUCLEAR
Seguridad Nuclear
Objetivo
Proteger a los individuos, a la sociedad y al medio ambiente estableciendo y manteniendo en las centrales nucleares una defensa efectiva contra los riesgos radiológicos.
La seguridad tiene dos enfoques:
La seguridad tiene dos enfoques:
- Deterministico
- Probabilistico
Criterios Determinísticos
• Defensa en Profundidad
• Garantía de Calidad
• Falla Única
• Falla a Favor de la Seguridad
• Redundancia
• Diversidad
· Segregación
• Base de Diseño
• Diseño Inherentemente Seguro
· Limites y Condiciones
1. Es necesario determinar las probabilidades de varias emisiones de material radioactivo como consecuencia de accidentes en la instalación
2. Calcular las consecuencias para el público
3. Las probabilidades de emision y sus consecuencias se combinan para obtener el riesgo
Análisis Probabilista de Seguridad (APS).
Se origina en la industria aereoespacial. Complementan la metodología determinista y se ha aplica en muchos reactores en el mundo incluyendo el reactor peruano de Huarangal.
El objetivo es estimar el riesgo global de una instalación, identificando las secuencias de accidentes que pueden ocurrir y su probabilidad de ocurrencia.
Aceptación del riesgo
Determinación del riesgo
Calcular el riesgo asociado con accidentes en Centrales nucleares es un proceso de tres etapas1. Es necesario determinar las probabilidades de varias emisiones de material radioactivo como consecuencia de accidentes en la instalación
2. Calcular las consecuencias para el público
3. Las probabilidades de emision y sus consecuencias se combinan para obtener el riesgo
Aceptación del riesgo
Casi todo lo tecnológico implica un riesgo, por ejemplo el automovil es un dispositivo que causa muchos muertos debido a los accidentes, sin embargo no pensamos en dejarlo de usar por ello, porque nos resulta muy útil, es decir hacemos un juicio valor , donde ponemos en balanza los beneficios versus el detrimento que causa. Ahora revisemos cual es la metodología seguida para considerar que por ejemplo una central nuclear resulta aceptable desde el punto de vista del riesgo que pueda tener para las personas
Casi todo lo tecnológico implica un riesgo, por ejemplo el automovil es un dispositivo que causa muchos muertos debido a los accidentes, sin embargo no pensamos en dejarlo de usar por ello, porque nos resulta muy útil, es decir hacemos un juicio valor , donde ponemos en balanza los beneficios versus el detrimento que causa. Ahora revisemos cual es la metodología seguida para considerar que por ejemplo una central nuclear resulta aceptable desde el punto de vista del riesgo que pueda tener para las personas
CONCEPTOS BASICOS
Porque algunos átomos son inestables
Algunas proporciones en el núcleo de protones a neutrones hacen que un núcleo sea estable o inestable, en el grafico se muestra la banda donde se encuentran los núcleos estables.
Algunas proporciones en el núcleo de protones a neutrones hacen que un núcleo sea estable o inestable, en el grafico se muestra la banda donde se encuentran los núcleos estables.
Radiaciones ionizantes
Son flujos de fotones (radiación electromagnética) o partículas con energía suficiente para romper enlaces químicos y formar iones liberando electrones de los átomos. Ejemplo de estas radiaciones son los rayos X, gamma, beta o flujo de partículas como neutrones y partículas alfa
Efectos biológicos de las radiaciones
Velocidad de desintegración
Es la velocidad de transformación de un núcleo inestable con emisión de radiación ionizante, también se le conoce como actividad y se mide en desintegraciones por segundo o bequerelio
Vida media
Es el tiempo necesario para que la actividad inicial de un radioisótopo se convierta en la mitad
Dosis absorbida(D)
Es la energía impartida a la materia, cuando la radiación ionizante interactúa con ella, la unidad es el Gray
Dosis equivalente(H)
Dosis equivalente(H)
A fin de evaluar los efectos biológicos de una radiación determinada se modifica la dosis absorbida multiplicándola por los factores de ponderación de la radiación, Wr que dependen del tipo y energía de la radiación
H= D*Wr
Dosis efectiva(E)
Considerando que cada tejido de los órganos tiene una sensibildad a las radiaciones distinta, es que se define la dosis efectiva como la sumatoria de la dosis equivalente en tejido multiplicada cada una por un factor de ponderación para tejido correspondiente Wt
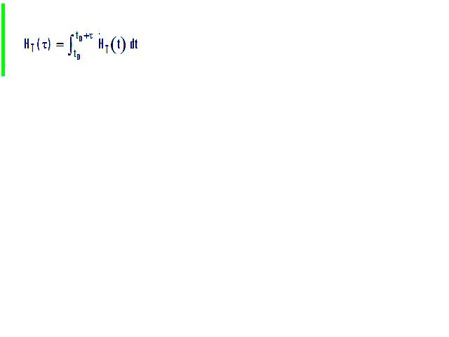
Dosis equivalente comprometida
Cuando un radioisótopo ingresa al cuerpo ya sea por inhalación, ingestión o a través de la piel, permanece en algún órgano interno más tiempo debido a un metabolismo más lento, este es el llamado órgano crítico.
El radioisótopo tiene un decaimiento físico (desintegraciones) y un decaimiento biológico(eliminación).
En estos casos se usa la dosis equivalente comprometida definida como la integral en un periodo de tiempo
DOSIS EFECTIVA COLECTIVA, S
Es una medida de la exposición a la radiación en una población, se puede calcular mediante la siguiente expresión: donde ahora (dN/dE)dE indica el número de individuos expuestos por intervalo diferencial de dosis efectiva.
Efectos biológicos de las radiaciones
La radiación ionizante cuando incide en el cuerpo de un ser humano produce ionizaciones y otros cambios que pueden producir algunos efectos que son visibles y tienen un valor de dosis umbral debajo del cual no produce ningún daño, estos son los efectos no estocásticos.
El combustible nuclear puede ser óxido de uranio ( punto de fusión mas de 3000ºC). El combustible esta encerrado en vainas de zircaloy con un punto de fusión de 2200ºC.A estas varillas se llama elemento combustible. Al conjunto de todos estos elementos combustibles es el núcleo.
En cambio los efectos estocásticos produce carcinogénesis y no tiene alguna dosis umbral, son efectos de latencia larga, es decir puede manifestarse después de algunos años.
Protección radiológica
El objetivo de la radio protección es conseguir que las aplicaciones de las radiaciones ionizantes se realicen de manera segura, es decir, que el empleo de estas, no suponga para las personas expuestas ocupacionalmente o los miembros del publico riesgos inaceptables. El riesgo podrá aceptase si es igual al riesgo asociado a otras actividades que no impliquen el uso de radiaciones ionizantes.
Se cuentan con criterios básicos:
Justificación de la práctica
Toda exposición a las radiaciones ionizantes debe estar justificado, es decir que el beneficio que se obtiene sea superior al posible detrimento en el individuo o la sociedad
Optimización
Se aplica el principio ALARA (As Low as Reasonable Achiable) tan bajo como sea razonablemente lograrlo, se logara una dosis individual, el número de personas expuestas y la probabilidad de recibir exposiciones sea lo más bajo posible
Limitación de la dosis
Para las personas que por su ocupación deben exponerse a las radiaciones ionizantes, `pueden recibir como máximo la dosis de 20 mSv
Para las personas que son ocupacionalmente expuestos, es decir los miembros del público pueden recir hasta 1 mSv al año para no tener algún riesgo inaceptable
Límite anual de incorporación
Cuando un radioisótopo de incorpora al cuerpo (puede ser por ingestión. inhalación o a través de la piel) produce una dosis interna, como el límite es 20 mSv , entonces se llama ALI a la actividad máxima por incorporación anual para que produzca esta dosis.
Niveles de intervención en emergencias radiológicas
Para poder aplicar las medidas durante un escape radiactivo debido a un accidente en una instalación radiactiva o nuclear se aplican los niveles de intervención
Fisión nuclear
Es un proceso en que un núcleo pesado y más inestable se divide en dos nuevos núcleos más pequeños, esto puede ocurrir espontáneamente, sin intervención externa, lo cual es muy raro, en cambio esta la fisión inducida, que se puede lograr por absorción de neutrones. Los isótopos como uranio 235 (U235) y plutonio 239 (Pu 239) son los llamados núcleos fisiles.
Sección eficaz de fisión
Es la probabilidad que ocurra la fisión, para el caso del uranio 235 es necesario que los neutrones sean térmicos, es decir de baja energía para que esta probabilidad sea alta y así ocurra la fisión.
Planta nuclear
Es una instalación donde se obtiene energía a partir de la fisión de un combustible nuclear que generalmente es uranio enriquecido, a diferencia de un reactor de investigación que son de baja potencia y para investigación y producción de radioisótopos
Etiquetas:
dosis,
energía nuclear,
fision nuclear,
radiación ionizante,
reactor nuclear
Suscribirse a:
Comentarios (Atom)


























